[
] 108
A
S IS THE
case with many nations, Canadian economic
and social activities are highly dependent on road
surface transportation. In 2002, trucks carried 63 per
cent of the CAD531 billion worth of goods traded with the
United States.
1
According to the Canadian Vehicle Survey,
Canada’s 17.3 million light vehicles generated over 500 billion
passenger-kilometres worth of travel in 2000.
2
The mobility
and wealth derived from road transportation is possible
through large investments by local, provincial/territorial and
federal government agencies – over CAD14 billion was spent
in 2002-2003 on road infrastructure alone.
3
Protecting and
maintaining this asset to ensure the safe and efficient move-
ment of people, goods and services is a primary objective of
public road authorities. Significantly, this asset is one that is
sensitive to weather and climate variability.
4
Many of the weather and climate information products and
services provided by Environment Canada are oriented towards
users in the road transportation sector. This includes the
driving public, trucking industry and authorities responsible
for designing, constructing, operating and maintaining
highway infrastructure. The services encapsulate routine public
weather forecasts; severe weather watches, advisories and
warnings, along with a variety of climatological products. There
follows a description of some of the weather service needs
pertaining to winter maintenance operations, infrastructure
design and maintenance, and road safety.
Winter road maintenance
The most significant application is the provision of road
weather modelling and forecast services in support of winter
maintenance operations conducted or funded by provincial
and municipal government agencies.
5
These agencies must
balance the need to maintain safe road conditions without
excessive costs or use of road salts, which have been shown
to damage surrounding environments
6
– provincial and
municipal agencies spent and estimated CAD1.3 billion in
2003 on winter maintenance activities,
7
and an estimated 4.5
million tonnes of road salt are applied to Canadian roads each
year.
8
In 2005, after several years of road weather model develop-
ment and application, these technologies and services were
made available to the private sector meteorological community.
While Environment Canada no longer conducts operational
road weather forecasting, it has developed a Road Weather
Applications of weather and
climate information in road transportation:
examples from Canada
Brian Mills, Adaptation and Impacts Research Division,
Atmospheric Science and Technology Directorate, Environment Canada
Jean Andrey, Department of Geography, University of Waterloo
0
0.02
0.04
0.06
0.08
0.1
0.12
Mean daily occurrence of measurable snowfall
Salt use(t/lane-km/day)
0
0.1
0.2
0.3
0.4
0.5
0.6
0.7
0.8
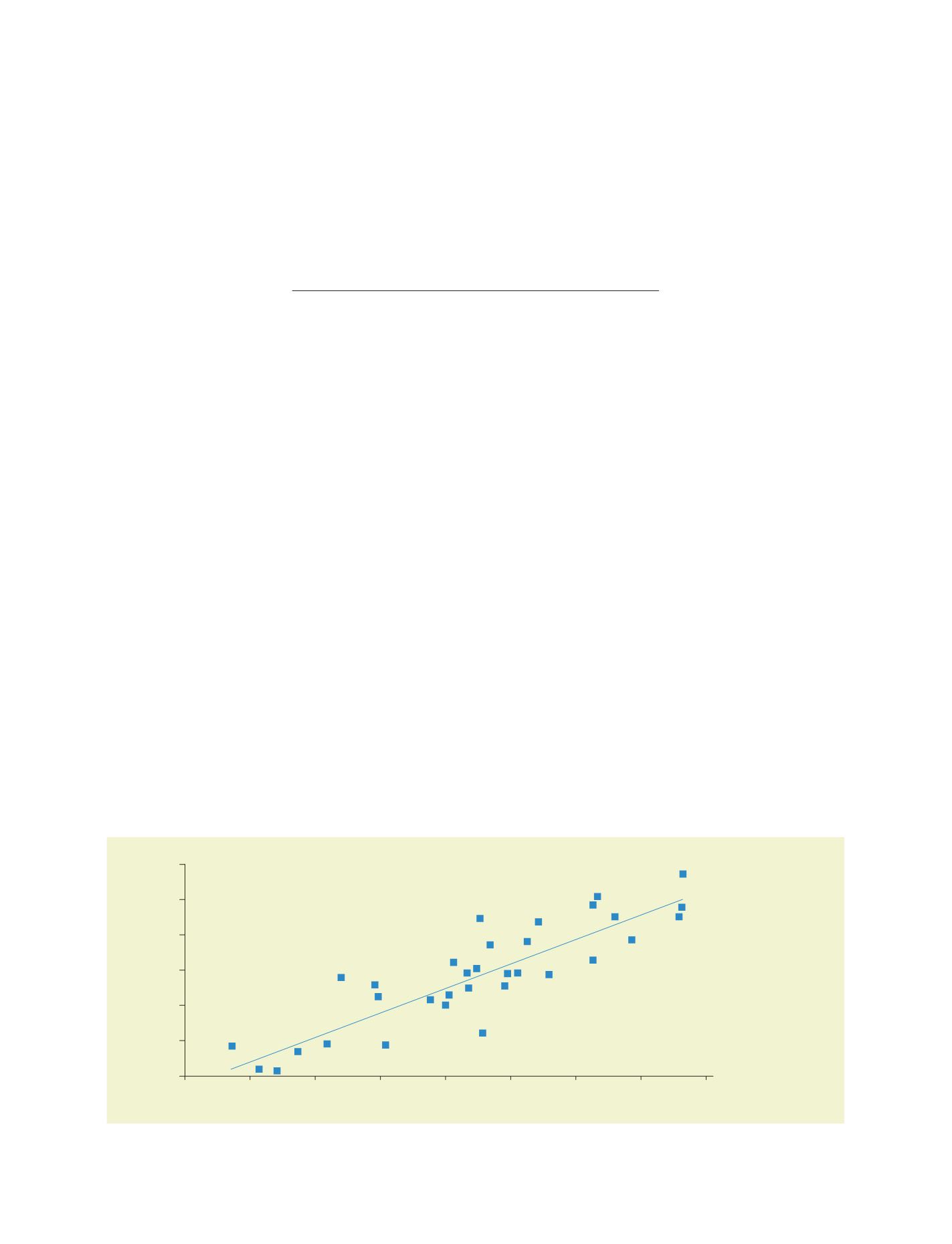
Monthly Salt use (NF Avalon) and snowfall occurrence (St. Johns A)
R
2
=0.7769
Standardized road salt use and mean daily occurrence of measurable snowfall for the Avalon region of Newfoundland, 1998-2005
Source: data provided by Province of Newfoundland and Transportation Association of Canada




