[
] 109
Information Network (RWIN). RWIN supports private sector
providers and road transportation users by managing, archiving
and quality controlling data from the national system of road
weather observing stations, as well as facilitating access to core
meteorological datasets. At longer timescales, winter severity
indices constructed using climatological data and related to
indicators of winter maintenance, can be used by road author-
ities to evaluate monthly or annual operations.
9
Road salt
application is strongly correlated to weather variables such as
the mean daily occurrence of snowfall.
Infrastructure design and maintenance
Road infrastructure is in perpetual need of maintenance and
reconstruction, as weather and climatic factors interact with
traffic, construction, structural and maintenance characteristics
to influence pavement deterioration and performance.10 Seasonal
thaw weakening processes are a major factor in the premature
deterioration of secondary roads in Canada. Once sufficiently
frozen, a pavement structure can carry extra weight relative to
the preceding unfrozen period. However, during the spring thaw
the load-bearing capacity of roads rapidly weakens and the struc-
ture becomes vulnerable to permanent deformation even from
average loads. Road authorities apply seasonal weight restrictions
(SWRs) to reduce premature deterioration, allowing extra loads
once structures are frozen, and limiting weights once the thaw
commences.
11
Inappropriate decisions to implement restrictions
can lead to extensive damage and repair expenditures.
In terms of weather information needs, one-day to 14-day
forecasts of temperature are a primary consideration for deter-
mining when to activate and remove seasonal load restrictions.
Historical climate observations are also consulted to establish
basic relationships between pavement strength, frost penetra-
tion and air temperature. Climate change may also have
important implications for the timing of the spring thaw, and
render dependence on historical data or fixed SWR dates much
less reliable in the future.
12
Road safety
The final example relates to road safety, specifically the routine
forecasts, watches, advisory and warning products and services
that Environment Canada provides to the driving public. Surveys
conducted by Ipsos-Reid suggest that transportation concerns
are the most important weather-related risks facing Canadians,
particularly during the winter season.
13
Motor vehicle collisions
exact a significant toll on Canadians each year – 2,917 deaths
and 227,500 injuries in 2000 alone.
14
This translates into
approximately one injury for every 140 citizens per year.
Research has been completed in Canada to estimate the relative
risk of motor vehicle collision injuries during precipitation, as
compared with dry, seasonal conditions.
15
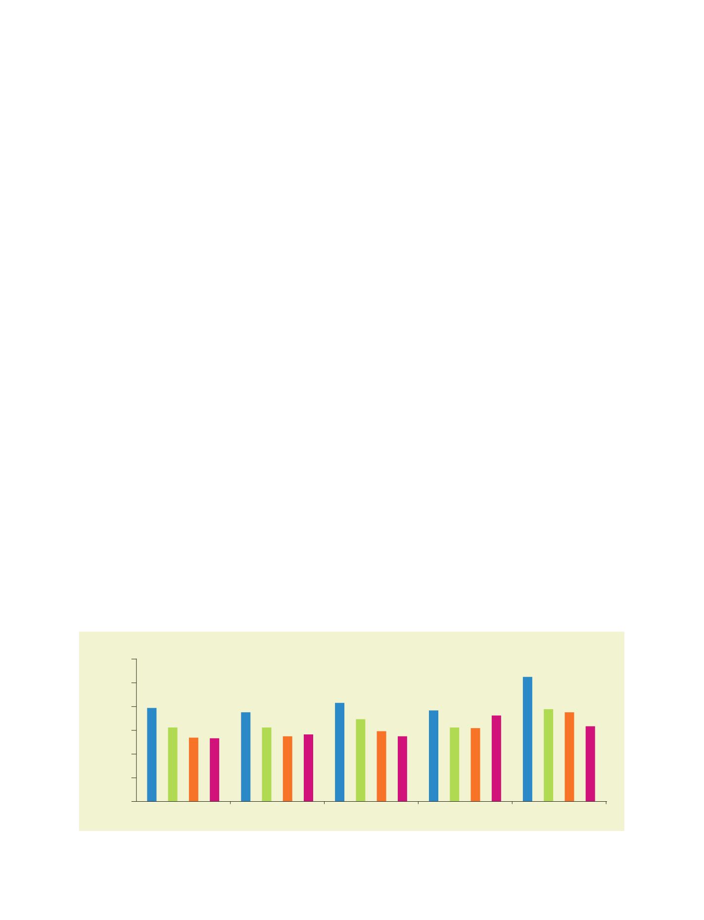
Results aggregated
over 28 Canadian cities during the period 1984-2000 are
presented in diagram below. Relative risks greater than 1.0 indi-
cate that weather, in this case different forms of precipitation, is
consistently associated with higher numbers of injuries than
would be expected under dry, seasonal conditions. A relationship
between injury severity and relative risk is also apparent, with
minimal and minor injuries showing a greater increase during
precipitation as compared with major and fatal injuries.
16
This work provides substantive empirical support of the
Ipsos-Reid survey results, and suggests a promising continued
role for weather information applications. However, the actual
influence of weather watches, advisories, and warnings on road
safety – or the effectiveness of the previous applications in
terms of user-relevant outcomes – remains unclear and is the
focus of continued research. Initial investigations by Andrey
and Mills suggest that current watch, warning and advisory
thresholds for heavy rainfall, snowfall and winter storms are
much higher than thresholds where weather-related collision
risks begin to increase. However, in the cases examined, reduc-
tions in relative risk coincident with the timely (i.e., within 24
hours) issuance of weather watches, advisories and warnings
are also apparent.
17
In summary, many aspects of the road transportation sector
in Canada are sensitive to weather and climate. Information
and services provided by Environment Canada at a variety of
scales (e.g. short-term forecasts through to climate change
predictions) can help users to manage risks and take advan-
tage of opportunities. The effectiveness or value of this
information is only beginning to be determined, but is rooted
in changes to user-relevant outcomes such as safety, and will
vary according to the characteristics of the user, nature of the
weather-related sensitivity, and decisions taken.
0.0
0.5
1.0
1.5
2.0
2.5
3.0
Relative Risk
All
Rain
Snow
Freezing Rain
Rain mixed with Snow
Aggregate risk of motor vehicle collision injury in 28 Canadian cities during various types of precipitation relative to
comparable periods without precipitation (1984-2000).
Source: Audrey et al., 2005




