[
] 43
A
dvancing
S
ocial
I
ntegration
and
I
ntergenerational
S
olidarity
4
3.4
3.6
3.8
4.4
4.6
4.2
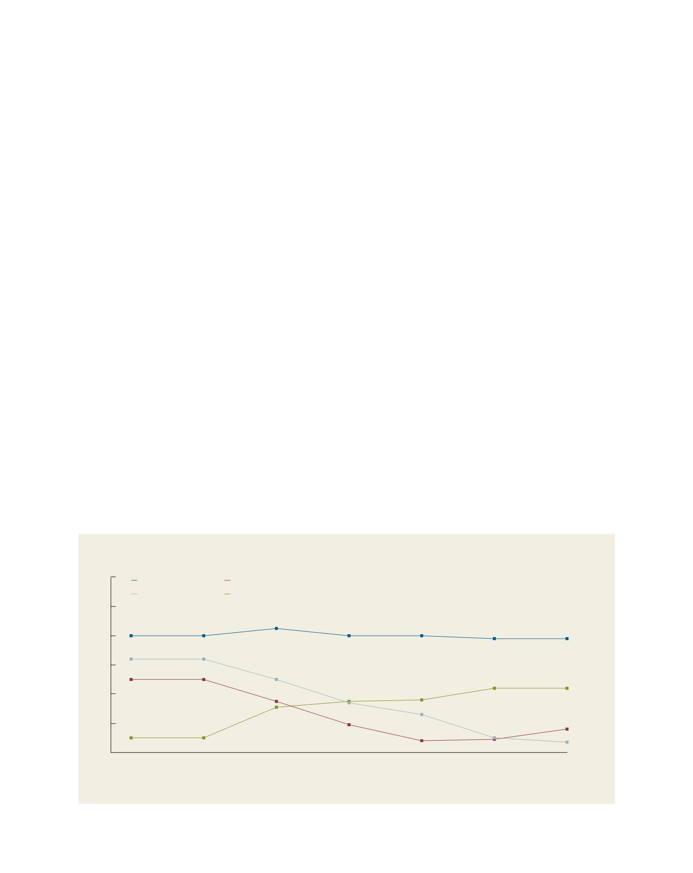
10-11
11-12
12-13
13-14
14-15
15-16
16-17
School connectedness
Community connectedness
Family connnectedness
Peer connectedness
Social connectedness trends during adolescence across family, school, peer and community domains
Source: Youth Connectedness Project
that adolescents’ social connectedness serves a protective func-
tion against the stressors experienced during development by
providing stability, a sense of belonging and meaning. A number
of cross-sectional studies have specifically found that greater
family and school connectedness are associated with lower levels
of maladjustment, higher levels of well-being and fewer nega-
tive mental health symptoms. Consequently, there is a growing
consensus that social connectedness acts as a protective factor for
adolescent health and development. Thus far, only a small number
of studies have investigated whether social connectedness is asso-
ciated with positive adjustment for youth over time. Therefore,
one of the aims of our research has been to close this obvious gap.
The Youth Connectedness Project
2
has studied the longitudi-
nal relationships between social connectedness (measured across
the four domains of family, peers, school and community) and
indices of well-being for New Zealand youth. This study sampled
approximately 2,000 community-based young people in three
age cohorts (10-11, 12-13 and 15-16 years at time one) over the
three time points between 2006 and 2008. The overall aim of the
Youth Connectedness Project is to examine the links between the
multiple domains of connectedness and positive outcomes for
young people in New Zealand, and to identify modifiable factors
that foster and enhance connectedness.
We first examined the average levels of connectedness across
the four domains throughout the developmental period assessed.
3
The data clearly indicate trends in connectedness throughout
adolescence. At the earliest ages measured, youth report high
levels of connectedness with peers, family and school, but low
levels of connectedness with community. Over time, connections
to peers tend to remain high and stable, connections to family
and school diminish and connections to community increase.
Trend lines indicate that the decline for family connectedness
and the increase for community connectedness both level off,
and that school connectedness begins to increase after the age
of 15 years. These results illustrate normative developmental
changes in the social relationships of young people, such that
during adolescence youth tend to engage in the process of indi-
viduation, seeking autonomy outside of the family system and
participating more in the broader social realm (for example work,
social groups, sport). The trends evident in our results reflect
well-established research findings which show that the process
of autonomy-seeking peaks during mid-adolescence as young
people begin to develop a more defined sense of self and then
begins to level off as these young people mature.
Following on from the examination of connectedness across
the developmental period, we next sought to investigate the rela-
tionships between the domains of connectedness and adolescent
well-being at each of the three time points. Correlation coeffi-
cients of cross-sectional data revealed positive correlations of
between 0.22 and 0.62 between domains of connectedness with
well-being. This pattern of findings indicates that the domains of
connectedness are significantly positively related to one another
and to well-being at each of the time points.
In order to assess the relationship between social connect-
edness and well-being over time, we next tested a hierarchical
residualized regression model
4
predicting well-being from Year 1
to Year 3. Step one included age, gender, ethnic group and well-
being at time one. Findings show that after controlling for levels
of well-being at time 1, individuals who were younger tended to
be happier two years later, and there is no difference between
girls and boys or between ethnic groups. The second step of the
regression showed that the domains of family, school and peer
connectedness were all predictive of increased well-being over
time, but community connectedness was not. Furthermore,
family and school connectedness manifested stronger relation-
ships with well-being than did peer connectedness. Notably,
upon the inclusion of the social connectedness domains in the
second step, the predictive effect of well-being at time 1 dimin-
ished, indicating that the construct of social connectedness
significantly overlapped with initial levels of well-being.




