[
] 31
at further reducing the consequences. One such aspect is the
study and analysis of the meteorological vulnerability of terri-
tories and industrial and economic installations.
It should be noted that a variety of concepts are currently
used for characterizing the impact of hazardous phenomena.
In current work, the notion of the meteorological vulnerabil-
ity of territories and industrial and economic installations is
being used. In the context of the present report, meteorologi-
cal vulnerability is considered to be the physical manifestation
of how liable industrial and economic installations in a given
territory are to the effects of the natural environment. There
is more to vulnerability than putting protectability to the test,
including the natural adaptation of territories and installations
to weather and climate conditions. In the long run, hydrome-
teorological effects manifest themselves in the form of
economic and social losses. Thus, hydrometeorological losses,
relating first and foremost to hazardous weather conditions
against a backdrop of increasing climatic instability, reflect the
level of vulnerability of the industrial sphere.
In the end, being vulnerable is an unhealthy position for the
Russian economy to be in, with its weak hydrometeorological
immunity, the particular physiogeographic characteristics of the
country’s vast territories and the territorial differentiation of the
productive potential of weather-dependent sectors of the economy.
Vulnerability, as a particular meteorological state of the
economy, is a composite function, involving: the scale of the
industrial installation or process; the specific nature of the
industry (weather dependency); the level of protectability; the
peculiarities of the regional position that reflect the meteoro-
logical risk and a range of other characteristics specific to that
branch of industry. This shows that complex concepts are
involved, concerning not only meteorological characteristics
and indicators but also macroeconomic ones.
In any country, including Russia, the industrial and techno-
genic sphere is generally shaped by external conditions,
determined by nature. However, the natural environment, in
the form of weather conditions, is having a more severe impact
on society. This manifests itself as an increase in the number
and intensity of adverse weather conditions and hazardous
weather conditions causing social and economic damage. Thus,
this increased severity of the impact of the natural environ-
ment on society is spreading to all fields of vital activity (both
economic and social).
The level of vulnerability, which is reflected in the scale of the
economic losses resulting from the effects of adverse weather
conditions and hazardous weather conditions, is first and fore-
most due to how liable and sensitive industrial and economic
installations (territories) are to growing climatic instability and
weather-dependence. These indicators of vulnerability (the
variability of weather conditions and the risk of impact on the
population and economy) are confirmed by thorough scien-
tific and industrial analysis.
Thus, for example, research has shown that the economic
sphere and sectors of the economy such as agriculture, trans-
port, energy, housing and communal services (HCS) are
particularly vulnerable. These sectors are the most weather-
dependent.
Of particular interest is the extent to which the population
is liable to the effects of hazardous phenomena. The second
graph shows that that the population is most sensitive to the
phenomena in groups 1 and 2, which comprise convective
phenomena (squalls, heavy showers, etc.), observed in rela-
If one takes the world economy as a whole, then the
economic losses resulting from the impact of hydrometeoro-
logical phenomena at the beginning of the 21st century amount
to more than USD100 billion per year. These losses are
constantly growing, which shows that the true test of the
elements for society is still to come.
The severe economic damage and the large number of human
victims resulting from the flooding, series of avalanches and heavy
rainfall in the North Caucasus, Siberia and Russian Far East show
how vulnerable the Russian Federation is today when it comes
to hazardous weather phenomena. Assessing the impact of these
phenomena on the economy therefore takes on particular impor-
tance for Russia. This is also true given the increase in economic
losses. The economic losses resulting from the impact of
hazardous hydrometeorological phenomena and adverse weather
conditions on agriculture across various years can be seen in the
second graph which also shows the growth trend of those losses.
According to expert assessments, between 1995 and 2003,
the average annual value of economic losses from hydromete-
orological causes in Russia reached 60 billion roubles. The
whole social and economic sphere of the country therefore finds
itself in a regime of constantly being put to the test by adverse
weather conditions and hazardous hydrometeorological
phenomena. In 2005, almost every day, some kind of hazardous
phenomenon causing economic and social losses was recorded.
And, over the past 5 years, the individual regions of Russia
(Yakutia, federal subjects of the North Caucasus, etc.) have
found themselves on the brink of social and economic disaster.
Much attention has therefore been devoted to the issue of
research into the effects of weather – particularly adverse
weather conditions and hazardous hydrometeorological condi-
tions – on sustainable economic growth. Many aspects of the
information on weather conditions that cause economic and
social losses is generalized and systematized with a view to
aiding decision-making and implementation of measures aimed
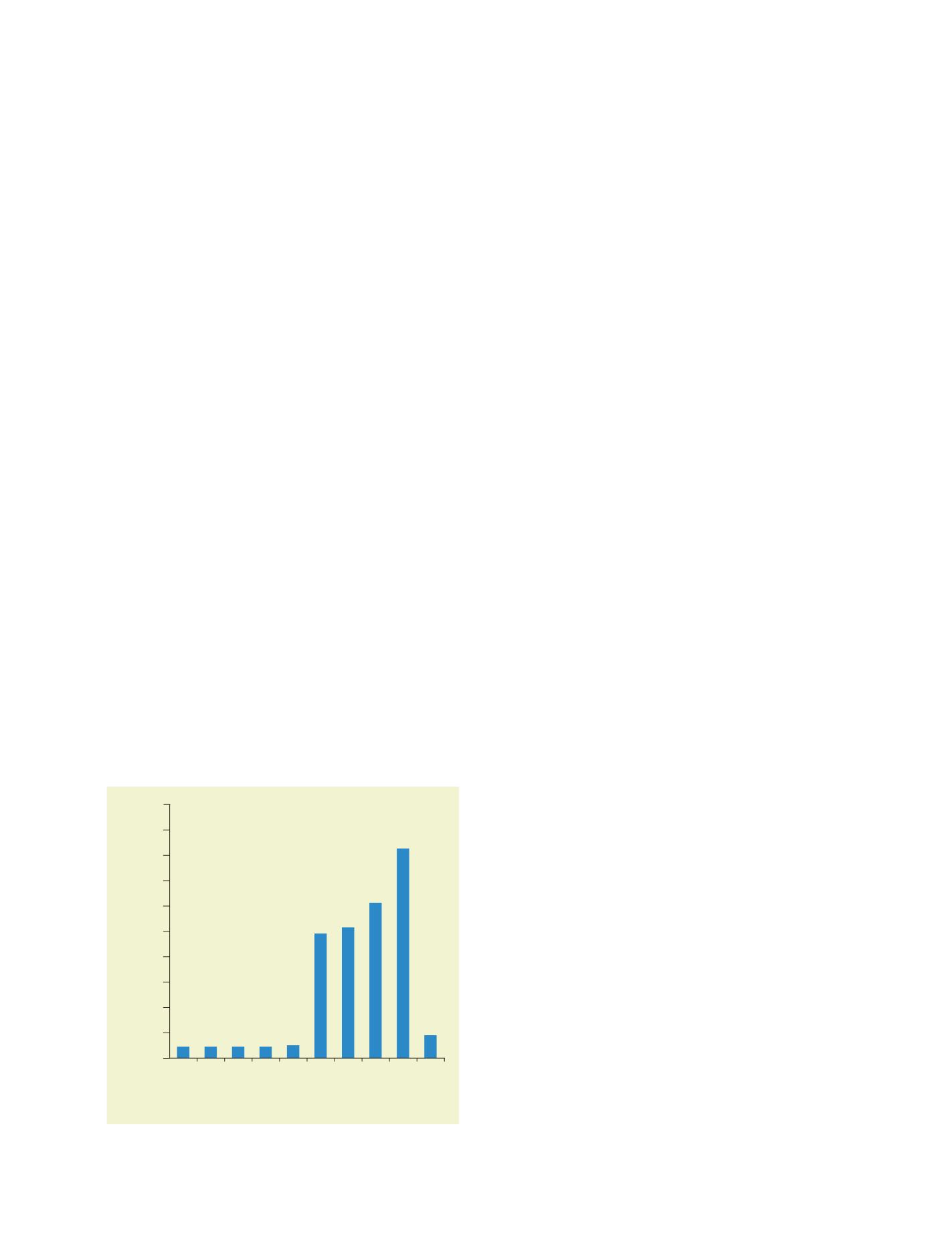
River Navig
Nonstruction
Marit Nav
Forestry
Aviation
Agriculture
Transport
Fuel/energy
River HCS
Population
0
200
400
600
800
1,000
1,200
1,400
1,600
1,800
2,000
Number of cases
Distribution of cases of adverse weather conditions and
hazardous hydrometeorological conditions that caused social
and economic damage to the population and various sectors of
the economy in Russia between 1991 and 2006
Source: A. I. Bedritsky




